GitHub annonce une prise en charge native de Mermaid
mar, 15/02/2022 - 13:24
Markdown sur GitHub était d'intégrer une image. GitHub vient de faire sauter cette limite en ajoutant la prise en charge native de Mermaid.
Mermaid est un outil de création de diagrammes et de graphiques basé sur JavaScript qui prend des définitions de texte inspirées de Markdown et crée des diagrammes de manière dynamique dans le navigateur. Maintenu par Knut Sveidqvist, il prend en charge de nombreux types de diagrammes courants pour les projets logiciels, y compris les organigrammes, UML, les graphiques Git, les diagrammes de parcours utilisateur et même le redoutable diagramme de Gantt.
En collaboration avec Knut et la communauté plus large de CommonMark, Github a déployé un changement qui vous permettra de créer des graphiques en ligne en utilisant la syntaxe Mermaid, par exemple :
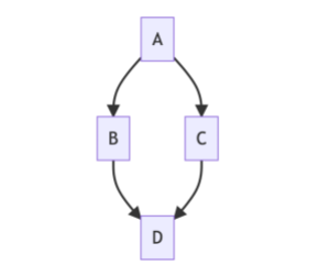
```mermaid
graph TD;
A-->B;
A-->C;
B-->D;
C-->D;
```
Ce bloc de code apparaîtra rendu ainsi dans le Markdown :

Lorsque GitHub rencontre des blocs de code marqués comme mermaid, un iframe est généré, qui prend la syntaxe brute de Mermaid et la transmet à Mermaid.js, transformant ce code en diagramme dans le navigateur local.


